Tabela de Vencimento 2025
Tabela de Vencimento fevereiro de 2025 – PCPB. p/05 a 07
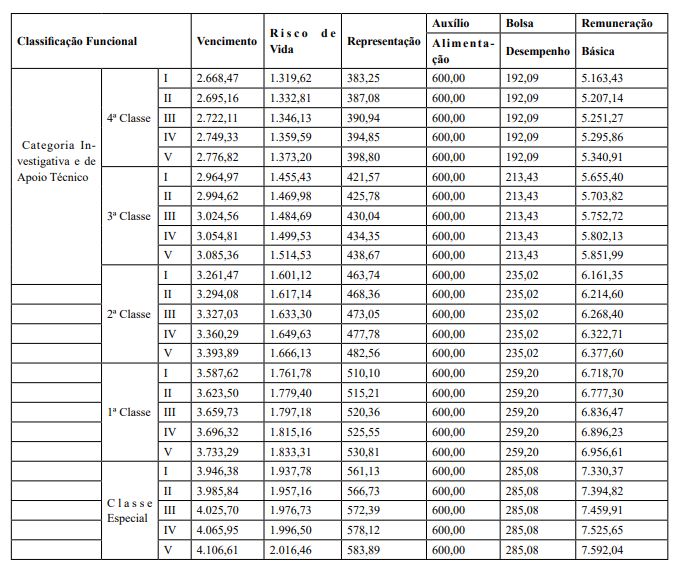
TABELA DE VENCIMENTO – FEVEREIRO – 2025

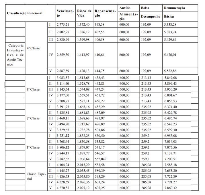
TABELA DE VENCIMENTO – SETEMBRO – 2025

TABELA DE VENCIMENTO – DEZEMBRO – 2025

Tabela de Vencimento fevereiro de 2025 – PCPB. p/05 a 07
TABELA DE VENCIMENTO – FEVEREIRO – 2025

TABELA DE VENCIMENTO – SETEMBRO – 2025

TABELA DE VENCIMENTO – DEZEMBRO – 2025
